Cette série de Symons Cone Crusher convient généralement au milieu de la section brisée, de deuxième ou de troisième section, largement utilisée dans les industries minières, fusionnées, les matériaux de construction, les routes, les chemins de fer, l'eau et les industries chimiques et d'autres domaines de divers minéraux et roches. Minerai de fer, minerai de cuivre, minerai d'or, minerai de manganèse, pierre de rivière, gravier, granit, basalte, minerai, quartz, diabase, etc. (pour la pierre dure).
Principe de travail
Lorsque le broyeur à cône de ressort fonctionne, le moteur entraîne la bague de roulement excentrique par couplage à ressort, arbre de transmission et quelques roues de vitesse de cône. L'axe du cône d'écrasement est obligé de se balancer par la bague de roulement excentrique, ce qui rend le manteau parfois près de la doublure de bol, et à certains moments loin de la doublure du bol. Les matières premières sont pressées, affectées et finalement écrasées dans la chambre de concassage.
L'usine chimique standard, contrôle strictement le processus de production, traitez sérieusement chaque processus, chaque détail
L'introduction du concept de conception scientifique, un contrôle strict du processus de production, des couches d'usine d'inspection d'assurance qualité.
Collecteur de poussière et installations de contrôle électronique basse tension
Il a les caractéristiques d'une efficacité de concassage élevée, d'une grande capacité de traitement, d'un faible coût de production, d'un ajustement pratique et d'une maintenance facile.
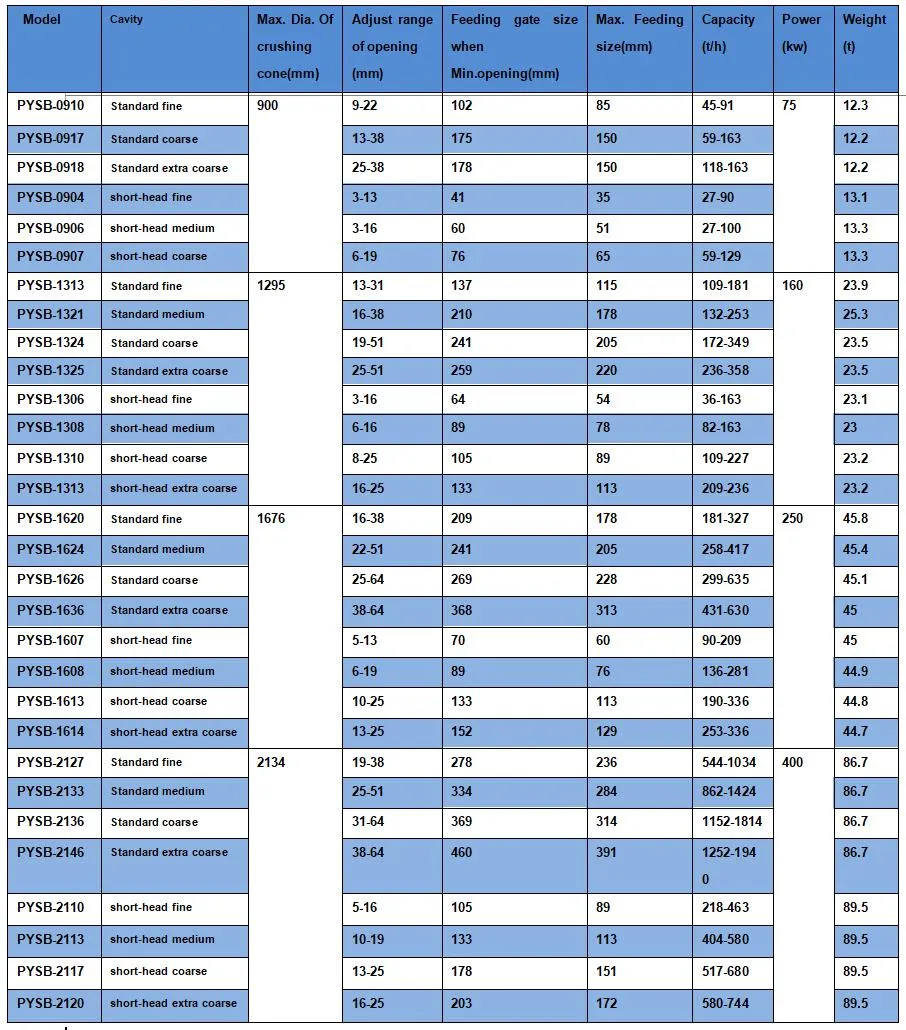
Ce concasseur à cône dépasse d'autres concasseurs de cône PYT, avec un meilleur rendement, une meilleure taille uniforme de particules, des particules plus fines, une durée de vie plus longue, un taux de fonctionnement plus efficace et une maintenance de production de gestion supérieure. Les concasseurs PYS peuvent être largement appliqués dans la mine non métallique, l'usine de ciment, le bâtiment, la métallurgie, le transport, les agrégats de gravier, etc. et est bien utilisé dans le minerai de fer, le minerai d'or, le minerai de métaux non ferreux, le granit, le basalte, la diabase, les pavés, le quartzite, le grès, le calcaire, les entreprises, les entreprises moyennes et la roche. Les broyeurs de cône sont divisés en quatre tailles: 3 pieds, 4 pieds, 5 pieds, 7 pieds, dans lesquels il y a une cavité écrasante classique séparément, ils sont donc largement utilisés dans toutes les parties du monde, avec une occupation élevée du marché du concasseur.
1. Qu'est-ce que la matière première souhaitez-vous traiter? granit, calcaire, galets, etc.
2. Quelle est la capacité par heure avez-vous besoin? 100 T / H, etc.
3. Quelle est la taille de l'entrée de la matière première? 400 mm
4. Quelle est la taille de sortie de votre produit? 0-5 mm; 5-10 mm, 10-20 mm, etc.
Code de capteur de cape de capteur
Produits connexes
Inscrivez-Vous à Notre Newsletter
get ready for the future
sign up for our newsletter to get updates straight to your inbox